欢迎光临:莱耀标准品网!
 您的位置:对照品 > 对照品 > 工作对照品 >
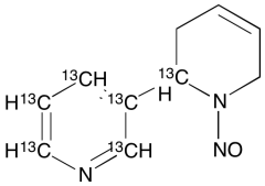
(R,S)-N-Nitroso Anatabine-13C6
产品基本信息
产品编号:N524754
产品名称:(R,S)-N-Nitroso Anatabine-13C6
产品CAS:
规格含量:25mg
产品价格:面议
联系我们:
产品详细介绍
标准品编号: N524754
名称: (R,S)-N-Nitroso Anatabine-13C6
别名: 1,2,3,6-Tetrahydro-1-nitroso-2,3'-bipyridine-13C6; N'-Nitrosoanatabine-13C6; (R,S)-NAT-13C6
参考CAS号: Unlabelled: 887407-16-1
分子式: C₄¹³C₆H₁₁N₃O
分子量: 195.17
种类: Standards; Isotopic Labeled Analogues; Environmental Standards, Mutagens and Metabolites; Nicotine Derivatives and Metabolites;
应用: Labelled (R,S)-N-Nitroso Anatabine (N524750). (R,S)-N-Nitroso Anatabin is a metabolite of tobacco, a specific N-nitrosamines. (R,S)-N-Nitroso Anatabine shows mutagenic effects.
危险品: Not a dangerous good if item is equal to or less than 1g/ml and there is less than 100g/ml in the package
参考文献


2011-2018 信阳莱耀生物科技有限公司 @ 信阳埃尔文生物科技有限公司版权所有

中检所标准品,对照品,标准气体
Keywords: 中检所标准品 对照品 标准气体