欢迎光临:莱耀标准品网!
 您的位置:对照品 > 对照品 > 工作对照品 >
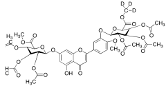
Diosmetin 3’,7-Di(2,3,4-tri-O-acetyl-D-glucuronic Acid Methyl Ester)-d3
产品基本信息
产品编号:D485052
产品名称:Diosmetin 3’,7-Di(2,3,4-tri-O-acetyl-D-glucuronic Acid Methyl Ester)-d3
产品CAS:
规格含量:2.5mg
产品价格:面议
联系我们:
产品详细介绍
标准品编号: D485052
名称: Diosmetin 3’,7-Di(2,3,4-tri-O-acetyl-D-glucuronic Acid Methyl Ester)-d3
别名: 5-Hydroxy-2-[4-methoxy-3-[(2,3,4-tri-O-acetyl-6-methyl-β-D-glucopyranuronosyl)oxy]phenyl]-4-oxo-4H-1-benzopyran-7-yl 2,3,4-Triacetate β-D-Glucopyranosiduronic Acid Methyl Ester-d3
参考CAS号: 类似: 159355-60-9
分子式: C₄₂H₄₁D₃O₂₄
外观: Off-white Solid
分子量: 935.8
溶解性: Chloroform; Dichloromethane; Ethyl Acetate
种类: Standards; Isotopic Labeled Analogues; Pharmaceutical/API Drug Impurities/Metabolites;
应用: Diosmetin 3’,7-Di(2,3,4-tri-O-acetyl-D-glucuronic Acid Methyl Ester)-d3 is an intermediate in synthesizing Diosmetin 3’,7-Diglucuronide-d3 (D485042), a labelled Diosmetin 3’,7-Diglucuronide (D485040), which is a metabolite of Diosmetin (D485000) which is a flavonoid often administered in the treatment of chronic venous insufficiency, hemorrhoids, and related affections.
参考文献


2011-2018 信阳莱耀生物科技有限公司 @ 信阳埃尔文生物科技有限公司版权所有

中检所标准品,对照品,标准气体
Keywords: 中检所标准品 对照品 标准气体