欢迎光临:莱耀标准品网!
 您的位置:对照品 > 对照品 > 国家对照品 >
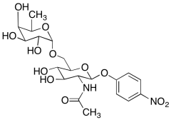
4-Nitrophenol 2-Acetamido-2-deoxy-6-O-(α-L-fucopyranosyl)-β-D-glucopyra
产品基本信息
产品编号:N509060
产品名称:4-Nitrophenol 2-Acetamido-2-deoxy-6-O-(α-L-fucopyranosyl)-β-D-glucopyra
产品CAS:81340-02-5
规格含量:5mg
产品价格:面议
联系我们:
产品详细介绍
标准品编号: N509060
名称: 4-Nitrophenol 2-Acetamido-2-deoxy-6-O-(α-L-fucopyranosyl)-β-D-glucopyranoside
CAS号: 81340-02-5
分子式: C₂₀H₂₈N₂O₁₂
分子量: 488.44
种类: Standards; Chiral Molecules; Pharmaceutical/API Drug Impurities/Metabolites; Carbohydrates and Oligosaccharides;
应用: 4-Nitrophenol 2-Acetamido-2-deoxy-6-O-(α-L-fucopyranosyl)-β-D-glucopyranoside is a fucosyl oligosaccharide. It is a fluorogenic substrate used in assays of β-Acetylglucosaminidase anzymes.
参考文献


2011-2018 信阳莱耀生物科技有限公司 @ 信阳埃尔文生物科技有限公司版权所有

中检所标准品,对照品,标准气体
Keywords: 中检所标准品 对照品 标准气体