欢迎光临:莱耀标准品网!
 您的位置:对照品 > 对照品 > 国家对照品 >
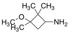
3-methoxy-2,2,3-trimethylcyclobutan-1-amine
产品基本信息
产品编号:M336083
产品名称:3-methoxy-2,2,3-trimethylcyclobutan-1-amine
产品CAS:1354963-76-0
规格含量:50mg
产品价格:面议
联系我们:
产品详细介绍
标准品编号: M336083
名称: 3-methoxy-2,2,3-trimethylcyclobutan-1-amine
CAS号: 1354963-76-0
分子式: C₈H₁₇NO
分子量: 143.22
种类: Building Blocks; Miscellaneous;
应用: 3-methoxy-2,2,3-trimethylcyclobutan-1-amine (cas# 1354963-76-0) is a useful research chemical.
参考文献


2011-2018 信阳莱耀生物科技有限公司 @ 信阳埃尔文生物科技有限公司版权所有

中检所标准品,对照品,标准气体
Keywords: 中检所标准品 对照品 标准气体