欢迎光临:莱耀标准品网!
 您的位置:对照品 > 对照品 > 国家对照品 >
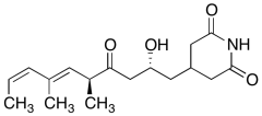
9-Methylstreptimidone
产品基本信息
产品编号:M326478
产品名称:9-Methylstreptimidone
产品CAS:51867-94-8
规格含量:1mg
产品价格:面议
联系我们:
产品详细介绍
标准品编号: M326478
名称: 9-Methylstreptimidone
别名: 4-[(2R,5S,6E,8Z)-2-Hydroxy-5,7-dimethyl-4-oxo-6,8-decadien-1-yl]-2,6-piperidinedione; 9-Methylstreptimidone; Antibiotic TS 885; NSC 248958
CAS号: 51867-94-8
分子式: C₁₇H₂₅NO₄
分子量: 307.38
种类: Standards; Chiral Molecules; Pharmaceutical/API Drug Impurities/Metabolites;
应用: 9-Methylstreptimidone is a member of the glutarimide family that exhibits antifungal and prophylactic antiviral activity.
参考文献


2011-2018 信阳莱耀生物科技有限公司 @ 信阳埃尔文生物科技有限公司版权所有

中检所标准品,对照品,标准气体
Keywords: 中检所标准品 对照品 标准气体