欢迎光临:莱耀标准品网!
 您的位置:对照品 > 对照品 > 国家对照品 >
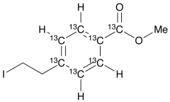
Methyl 4-(2-Iodoethyl)benzoate-13C7
产品基本信息
产品编号:M313703
产品名称:Methyl 4-(2-Iodoethyl)benzoate-13C7
产品CAS:
规格含量:50g
产品价格:面议
联系我们:
产品详细介绍
标准品编号: M313703
名称: Methyl 4-(2-Iodoethyl)benzoate-13C7
别名: 4-(2-Iodoethyl)benzoic Acid Methyl Ester-13C7
参考CAS号: Unlabelled: 1065269-88-6
分子式: C₃¹³C₇H₁₁IO₂
分子量: 297.05
种类: Standards; Isotopic Labeled Analogues; Pharmaceutical/API Drug Impurities/Metabolites;
应用: Isotope labelled Methyl 4-(2-Iodoethyl)benzoate is a 2-pyridone derivative as EP4 receptor agonist for the treatment of peripheral arterial disease.
参考文献


2011-2018 信阳莱耀生物科技有限公司 @ 信阳埃尔文生物科技有限公司版权所有

中检所标准品,对照品,标准气体
Keywords: 中检所标准品 对照品 标准气体