欢迎光临:莱耀标准品网!
 您的位置:对照品 > 对照品 > 国家对照品 >
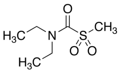
S-Methyl-N,N-diethylthiocarbamate Sulfone
产品基本信息
产品编号:M301750
产品名称:S-Methyl-N,N-diethylthiocarbamate Sulfone
产品CAS:155514-79-7
规格含量:5mg
产品价格:面议
联系我们:
产品详细介绍
标准品编号: M301750
名称: S-Methyl-N,N-diethylthiocarbamate Sulfone
别名: N,N-Diethyl-1-(methylsulfonyl)formamide;
CAS号: 155514-79-7
分子式: C₆H₁₃NO₃S
外观: Clear Pale Yellow Oil
熔点: N/A
分子量: 179.24
储存: Hygroscopic, -20°C Freezer, Under inert atmosphere
溶解度: Chloroform (Slightly), Ethyl Acetate (Slightly)
稳定性: Temperature Sensitive
种类: Standards; Enzyme Activators and Inhibitors;
应用: A dioxygenated metabolite of Disulfiram (Antabuse) capable of in vitro inactivation of liver mitochondrial aldehyde dehydrogenase (EC 1.2.1.3, ALDH) with higher reactivity than the monooxygenated sulfoxide. This compound is suitable for aldehyde dehydrogenase (ALDH) related research.
参考文献


2011-2018 信阳莱耀生物科技有限公司 @ 信阳埃尔文生物科技有限公司版权所有

中检所标准品,对照品,标准气体
Keywords: 中检所标准品 对照品 标准气体