欢迎光临:莱耀标准品网!
 您的位置:对照品 > 对照品 > 国家对照品 >
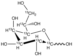
D-Mannoheptose-UL-13C7
产品基本信息
产品编号:M165052
产品名称:D-Mannoheptose-UL-13C7
产品CAS:
规格含量:10mg
产品价格:面议
联系我们:
产品详细介绍
标准品编号: M165052
名称: D-Mannoheptose-UL-13C7
别名: D-Glycero-D-galacto-heptose-UL-13C7
参考CAS号: Unlabelled: 7634-39-1
分子式: ¹³C₇H₁₄O₇
分子量: 217.03
种类: Standards; Isotopic Labeled Analogues; Carbohydrates and Oligosaccharides;
应用: Labeled D-Mannoheptose is a chemical component of lipopolysaccharides (O antigens) allowing for antigenic properties.
参考文献


2011-2018 信阳莱耀生物科技有限公司 @ 信阳埃尔文生物科技有限公司版权所有

中检所标准品,对照品,标准气体
Keywords: 中检所标准品 对照品 标准气体