欢迎光临:莱耀标准品网!
 您的位置:对照品 > 对照品 > 国家对照品 >
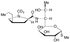
2’-epi-(6S,7S)-Lincomycin-d3
产品基本信息
产品编号:L466217
产品名称:2’-epi-(6S,7S)-Lincomycin-d3
产品CAS:
规格含量:2.5mg
产品价格:面议
联系我们:
产品详细介绍
标准品编号: L466217
名称: 2’-epi-(6S,7S)-Lincomycin-d3
别名: Methyl (6S,7S)-6,8-Dideoxy-6-[[[(2R,4R)-1-methyl-4-propyl-2-pyrrolidinyl]carbonyl]amino]-1- thio-D-threo-α-D-galacto-octopyranoside-d3; (2R,4R)-N-((1S,2S)-2-Hydroxy-1-((2R,3R,4S,5R,6R)-3,4,5-trihydroxy-6-(methylthio)tetrahydro-2H-pyran-2-yl)propyl)-1-methyl-4-propylpyrrolidine-2-carboxamide-d3; Lincomycin Impurity VIP(LA)d3
分子式: C₁₈H₃₁D₃N₂O₆S
分子量: 409.56
种类: Standards; Isotopic Labeled Analogues; Pharmaceutical/API Drug Impurities/Metabolites; Carbohydrates and Oligosaccharides;
应用: 2’-epi-(6S,7S)-Lincomycin-d3 is the isotope labelled analog of 2’-epi-(6S,7S)-Lincomycin (L466215); an isomer of Lincomycin (L466230) which is a lincosamide antibiotic that forms cross-links within the peptidyl transferase loop region of the 23S rRNA. Inhibits bacterial protein synthesis. Antibacterial.
参考文献


2011-2018 信阳莱耀生物科技有限公司 @ 信阳埃尔文生物科技有限公司版权所有

中检所标准品,对照品,标准气体
Keywords: 中检所标准品 对照品 标准气体