您的位置:对照品 > 对照品 > 国家对照品 > |
|
|
|
| 产品基本信息 |
|
| 产品编号:L395000 |
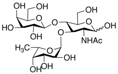
| 产品名称:Lewis X Trisaccharide |
| 产品CAS:71208-06-5 |
| 规格含量:2mg |
| 产品价格:面议 |
| 联系我们: |
|
|
|
|
|
| 产品详细介绍 |
| 标准品编号: |
L395000 |
| 名称: |
Lewis X Trisaccharide |
| 别名: |
2-Acetamido-2-deoxy-3-O-(α-L-fucopyranosyl)-4-O-(b-D-galactopyranosyl)-D-glucopyranose, Gal1-b-4[Fuc1-α-3]GlcNAc |
| CAS号: |
71208-06-5 |
| 分子式: |
C₂₀H₃₅NO₁₅ |
| 外观: |
白色至淡黄色固体 |
| 熔点: |
155-156°C (dec.) |
| 分子量: |
529.49 |
| 储存: |
Hygroscopic, -20˚C Freezer, Under Inert Atmosphere |
| 溶解度: |
Methanol (Slightly), Water (Slightly) |
| 种类: |
Standards; Carbohydrates and Oligosaccharides; |
| 应用: |
Lewis X and related compounds bind to the selectins and act as anti-inflammatory agents. |
| 参考文献 |
|
|
|
|
|
|
|
|