您的位置:对照品 > 对照品 > 国家对照品 > |
|
|
|
| 产品基本信息 |
|
| 产品编号:G415802 |
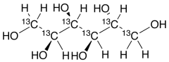
| 产品名称:D-Glucitol-13C6 |
| 产品CAS:121067-66-1 |
| 规格含量:50mg |
| 产品价格:面议 |
| 联系我们: |
|
|
|
|
|
| 产品详细介绍 |
| 标准品编号: |
G415802 |
| 名称: |
D-Glucitol-13C6 |
| 别名: |
D-Sorbitol-13C6; Glucarine-13C6; Esasorb-13C6; Cholaxine-13C6; Karion-13C6; Sionite-13C6; Sionon-13C6; |
| CAS号: |
121067-66-1 |
| 参考CAS号: |
类似: 50-70-4 |
| 分子式: |
¹³C₆H₁₄O₆ |
| 外观: |
白色固体 |
| 熔点: |
94-97°C |
| 分子量: |
188.13 |
| 储存: |
-20˚C Freezer |
| 溶解度: |
DMSO (Slightly), Methanol (Slightly, Sonicated) |
| 种类: |
Building Blocks; Carbohydrates and Oligosaccharides; |
| 应用: |
D-Glucitol-13C6 (cas# 121067-66-1) is a compound useful in organic synthesis. |
| 参考文献 |
|
|
|
|
|
|
|
|