您的位置:对照品 > 对照品 > 国家对照品 > |
|
|
|
| 产品基本信息 |
|
| 产品编号:F247300 |
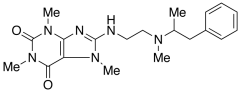
| 产品名称:Fencamine |
| 产品CAS:28947-50-4 |
| 规格含量:50mg |
| 产品价格:面议 |
| 联系我们: |
|
|
|
|
|
| 产品详细介绍 |
| 标准品编号: |
F247300 |
| 名称: |
Fencamine |
| 别名: |
3,7-Dihydro-1,3,7-trimethyl-8-[[2-[methyl(1-methyl-2-phenylethyl)amino]ethyl]amino]-1H-purine-2,6-dione; 8-[[2-[Methyl(α-methylphenethyl)amino]ethyl]amino]caffeine; Altimina; Altimine; N-8-Caffeyl-N'-methyl-N'-(α-methylphenethyl)ethylenediamine; N1-(1,3,7-Trimethyl-2,6-dioxopurin-8-yl)-N2-(1-methyl)phenethyl-N2-methylethylenediamine; Phencamine; dl-Fencamine; |
| CAS号: |
28947-50-4 |
| 分子式: |
C₂₀H₂₈N₆O₂ |
| 分子量: |
384.48 |
| 种类: |
Standards; Pharmaceutical/API Drug Impurities/Metabolites; |
| 应用: |
Analeptic. |
| 参考文献 |
|
|
|
|
|
|