欢迎光临:莱耀标准品网!
 您的位置:对照品 > 对照品 > 国家对照品 >
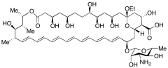
13-O-Ethylamphotericin B
产品基本信息
产品编号:E899350
产品名称:13-O-Ethylamphotericin B
产品CAS:
规格含量:50mg
产品价格:面议
联系我们:
产品详细介绍
标准品编号: E899350
名称: 13-O-Ethylamphotericin B
别名: (1R,3S,5R,6R,9R,11R,15S,16R,17R,18S,19E,21E,23E,25E,27E,29E,31E,33R,35S,36R,37S)-33-(((2R,3S,4S,5S,6R)-4-Amino-3,5-dihydroxy-6-methyltetrahydro-2H-pyran-2-yl)oxy)-1-ethoxy-3,5,6,9,11,17,37-heptahydroxy-15,16,18-trimethyl-13-oxo-14,39-dioxabicyclo[33.3.1]nonatriaconta-19,21,23,25,27,29,31-heptaene-36-carboxylic Acid
分子式: C₄₉H₇₇NO₁₇
分子量: 952.13
种类: Standards; Pharmaceutical/API Drug Impurities/Metabolites; Carbohydrates and Oligosaccharides;
应用: 13-O-Ethylamphotericin B is an analogue of 13-O-Methylamphotericin B (M287440), an antifungal. 13-O-Methylamphotericin B is a derivative of Amphotericin B (A634250), a polypeptide antibiotic active against gram positive bacteria. Antifungal.
参考文献


2011-2018 信阳莱耀生物科技有限公司 @ 信阳埃尔文生物科技有限公司版权所有

中检所标准品,对照品,标准气体
Keywords: 中检所标准品 对照品 标准气体