您的位置:对照品 > 对照品 > 国家对照品 > |
|
|
|
| 产品基本信息 |
|
| 产品编号:D525355 |
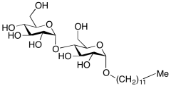
| 产品名称:n-Dodecyl β-D-Maltoside |
| 产品CAS:69227-93-6 |
| 规格含量:1g |
| 产品价格:面议 |
| 联系我们: |
|
|
|
|
|
| 产品详细介绍 |
| 标准品编号: |
D525355 |
| 名称: |
n-Dodecyl β-D-Maltoside |
| 别名: |
1-Dodecyl-β-D-maltoside; DDM; DDM (Detergent); Dodecyl O-β-D-Maltoside; Dodecyl β-D-Maltopyranoside; Dodecyl β-D-Maltoside; Dodecyl β-Maltopyranoside; Dodecyl β-Maltoside; Lauryl Maltoside; Lauryl β-D-Maltopyranoside; Lauryl β-D-Maltoside; Lauryl β-Maltopyranoside; Lauryl β-Maltoside; n-Dodecyl β-D-Maltopyranoside; β-1-n-Dodecyl-D-Maltoside; (2R,3R,4S,5S,6R)-2-(((2R,3S,4R,5R,6S)-6-(Dodecyloxy)-4,5-dihydroxy-2-(hydroxymethyl)tetrahydro-2H-pyran-3-yl)oxy)-6-(hydroxymethyl)tetrahydro-2H-pyran-3,4,5-triol |
| CAS号: |
69227-93-6 |
| 分子式: |
C₂₄H₄₆O₁₁ |
| 外观: |
白色固体 |
| 熔点: |
189-193°C |
| 分子量: |
510.62 |
| 储存: |
冰箱保存 |
| 溶解度: |
Methanol (Slightly), Water Slightly() |
| 种类: |
Standards; Pharmaceutical/API Drug Impurities/Metabolites; Carbohydrates and Oligosaccharides; |
| 应用: |
n-Dodecyl β-D-Maltoside is a widely used detergent to solubilize membrane proteins. |
| 参考文献 |
|
|
|
|
|
|
|
|