欢迎光临:莱耀标准品网!
 您的位置:对照品 > 对照品 > 国家对照品 >
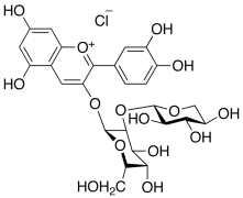
Cyanidin 3-Sambubioside
产品基本信息
产品编号:C953660
产品名称:Cyanidin 3-Sambubioside
产品CAS:33012-73-6
规格含量:2.5mg
产品价格:面议
联系我们:
产品详细介绍
标准品编号: C953660
名称: Cyanidin 3-Sambubioside
别名: 2-(3,4-Dihydroxyphenyl)-5,7-dihydroxy-3-[(2-O-β-D-xylopyranosyl-β-D-glucopyranosyl)oxy]-1-benzopyrylium Chloride; Cyanidin 3-sambubioside; 4',5,5',7-Tetrahydroxy-3-[(2-O-β-D-xylopyranosyl-β-D-glucopyranosyl)oxy]-Flavylium Chloride; Cyanidin 3-O-(2-O-β-Xylopyranosyl)-β-glucopyranoside; Cyanidin 3-Xyloglucoside; Cyanidine 3-Sambubioside; Sambicyanin
CAS号: 33012-73-6
分子式: C₂₆H₂₉ClO₁₅
分子量: 869.17
类别: Standards; Carbohydrates and Oligosaccharides;
应用: Cyanidin 3-sambubioside is a natural colorant found in elderberries and other fruits and flowers. It is produced from natural sources (extraction processes) and is known to exhibit antioxidative properties.
参考文献


2011-2018 信阳莱耀生物科技有限公司 @ 信阳埃尔文生物科技有限公司版权所有

中检所标准品,对照品,标准气体
Keywords: 中检所标准品 对照品 标准气体