欢迎光临:莱耀标准品网!
 您的位置:对照品 > 对照品 > 国家对照品 >
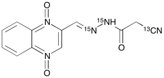
Cyadox-13C,15N2
产品基本信息
产品编号:C951402
产品名称:Cyadox-13C,15N2
产品CAS:
规格含量:2.5mg
产品价格:面议
联系我们:
产品详细介绍
标准品编号: C951402
名称: Cyadox-13C,15N2
别名: Ciadox-13C,15N2; Cyanoacetic Acid [(1,4-Dioxido-2-quinoxalinyl)methylene]hydrazide-13C,15N2; Cyanoacetic Acid (2-Quinoxalinylmethylene)hydrazide, N,N'-Dioxide-13C,15N2; 2-Cyanoacetic Acid 2-[(1,4-Dioxido-2-quinoxalinyl)methylene]hydrazide-13C,15N2;
参考CAS: 65884-46-0
分子式: C₁₁¹³CH₉N₃¹⁵N₂O₃
分子量: 274.21
类别: Standards; Isotopic Labeled Analogues;
应用: Cyadox-13C,15N2 is the labeled form of Cyatox (C951400), which is an anti-biotic drug and has the potential to be used as a feedstuff additive in promoting the growth of animals
参考文献


2011-2018 信阳莱耀生物科技有限公司 @ 信阳埃尔文生物科技有限公司版权所有

中检所标准品,对照品,标准气体
Keywords: 中检所标准品 对照品 标准气体