欢迎光临:莱耀标准品网!
 您的位置:对照品 > 标准品 > 美国药典 >
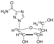
Levovirin -13C5
产品基本信息
产品编号:L379002
产品名称:Levovirin -13C5
产品CAS:
规格含量:5mg
产品价格:面议
联系我们:
产品详细介绍
标准品编号: L379002
名称: Levovirin -13C5
别名: 1-β-L-Ribofuranosyl-1H-1,2,4-triazole-3-carboxamide-13C5; ICN 17261-13C5; L-Ribavirin-13C5;
参考CAS号: 类似: 206269-27-4
分子式: C₃¹³C₅H₁₂N₄O₅
分子量: 249.17
种类: Standards; Isotopic Labeled Analogues; Pharmaceutical/API Drug Impurities/Metabolites; Anti-virals/Anti-retrovirals;
应用: Labelled analogue of Levovirin, a monocyclic L-nucleosides with type 1 cytokine-inducing activity. Levovirin is the L-enantiomer of Ribavirin (R414475) with similar immunomodulatory activity but does not have direct antiviral activity or hemolytic anemia.
参考文献


2011-2018 信阳莱耀生物科技有限公司 @ 信阳埃尔文生物科技有限公司版权所有

中检所标准品,对照品,标准气体
Keywords: 中检所标准品 对照品 标准气体