欢迎光临:莱耀标准品网!
 您的位置:对照品 > 标准品 > 美国药典 >
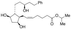
(15S)-Latanoprost
产品基本信息
产品编号:L177285
产品名称:(15S)-Latanoprost
产品CAS:145773-22-4
规格含量:5mg
产品价格:面议
联系我们:
产品详细介绍
标准品编号: L177285
名称: (15S)-Latanoprost
别名: (5Z)-7-[(1R,2R,3R,5S)-3,5-Dihydroxy-2-[(3S)-3-hydroxy-5-phenylpentyl]cyclopentyl]-5-heptenoic Acid 1-Methylethyl Ester; Latanoprost USP Related Compound B
杂质: Latanoprost USP Related Compound B
CAS号: 145773-22-4
分子式: C₂₆H₄₀O₅
分子量: 432.59
种类: Standards; Enzyme Activators and Inhibitors; Pharmaceutical/API Drug Impurities/Metabolites;
应用: An impurity of commercially prepared Latanoprost (L177280). Latanoprost USP Related Compound B.
参考文献


2011-2018 信阳莱耀生物科技有限公司 @ 信阳埃尔文生物科技有限公司版权所有

中检所标准品,对照品,标准气体
Keywords: 中检所标准品 对照品 标准气体