欢迎光临:莱耀标准品网!
 您的位置:对照品 > 标准品 > 美国药典 >
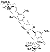
Eleutheroside E
产品基本信息
产品编号:E505025
产品名称:Eleutheroside E
产品CAS:39432-56-9
规格含量:25mg
产品价格:面议
联系我们:
产品详细介绍
标准品编号: E505025
名称: Eleutheroside E
别名: [1R-(1α,3aβ,4β,6aα)]-(Tetrahydro-1H,3H-furo[3,4-c]furan-1,4-diyl)bis(2,6-dimethoxy-4,1-phenylene) bis-β-D-glucopyranoside; 1H,3H-Furo[3,4-c]furan, β-D-glucopyranoside deriv.
CAS号: 39432-56-9
分子式: C₃₄H₄₆O₁₈
外观: 白色至白色固体
熔点: >232ºC (dec.)
分子量: 742.72
储存: Hygroscopic, -20°C Freezer, Under inert atmosphere
溶解度: DMSO (Slightly), Ethyl Acetate (Slightly), Pyridine (Slightly, Sonicated)
稳定性: Hygroscopic
种类: Standards; Pharmaceutical/API Drug Impurities/Metabolites;
应用: Eleutheroside E is used in the treatment of collagen-induced arthritis. Used in the suppression of inflammatory cytokine release. Successful in the treatment of rheumatoid arthritis. Also used in the regulation of adipogenesis
参考文献


2011-2018 信阳莱耀生物科技有限公司 @ 信阳埃尔文生物科技有限公司版权所有

中检所标准品,对照品,标准气体
Keywords: 中检所标准品 对照品 标准气体