欢迎光临:莱耀标准品网!
 您的位置:对照品 > 标准品 > 美国药典 >
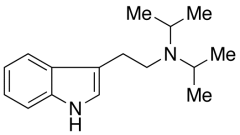
DiPT
产品基本信息
产品编号:D678850
产品名称:DiPT
产品CAS:14780-24-6
规格含量:500mg
产品价格:面议
联系我们:
产品详细介绍
标准品编号: D678850
名称: DiPT
别名: N,N-Bis(1-methylethyl)-1H-indole-3-ethanamine; 3-[2-(Diisopropylamino)ethyl]indole; 3-[2-(Diisopropylamino)ethyl]indole; N,N-Diisopropyltryptamine;
CAS号: 14780-24-6
分子式: C₁₆H₂₄N₂
分子量: 244.38
种类: Standards; Pharmaceutical/API Drug Impurities/Metabolites;
应用: DiPT is a psychedelic hallucinogen which is abused worldwide. DiPT is known informally as ‘foxy’, potently inhibits the re-uptake of dopamine, serotonin, and norepinephrine. DiPT is an uncommonly abused psychedelic drug related to 5-MeO DiPT. This product is intended for forensic and research applications.
参考文献


2011-2018 信阳莱耀生物科技有限公司 @ 信阳埃尔文生物科技有限公司版权所有

中检所标准品,对照品,标准气体
Keywords: 中检所标准品 对照品 标准气体