您的位置:对照品 > 标准品 > 美国药典 >
产品基本信息
产品编号:D422596
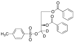
产品名称:(R)-2,3-Di(benzoyloxy)propyl-1,1-d2 4-Toluenesulfonate
产品CAS:
规格含量:250mg
产品价格:面议
联系我们:
产品详细介绍
标准品编号:
D422596
名称:
(R)-2,3-Di(benzoyloxy)propyl-1,1-d2 4-Toluenesulfonate
别名:
(R)-1,2,3-Propanetriol 1,2-Dibenzoate 3-(4-Methylbenzenesulfonate);
参考CAS号:
74629-13-3
分子式:
C₂₄H₂₀D₂O₇S
外观:
白色固体
分子量:
456.5
储存:
冰箱保存 (0°C)
溶解性:
Dichloromethane; Methanol; DMF; DMSO-d6;
种类:
Building Blocks; Isotopic Labeled Analogues;
应用:
(R)-2,3-Di(benzoyloxy)propyl-1,1-d2 4-Toluenesulfonate is an intermediate used in the synthesis of (S)-PA 824-d4 (P122502), which is a labelled novel anti-tuberculosis drug.
参考文献
Diacon, A.H. et al.: Antimicrob. Anents Chemother., 54, 3402 (2010); Dogra, M. et al.: Br. J. Pharmacol., 162, 226 (2010); Ginsberg, A.M. et al.: Antimicrob. Agents Chemother., 53, 3720 (2009);