欢迎光临:莱耀标准品网!
 您的位置:对照品 > 标准品 > 美国药典 >
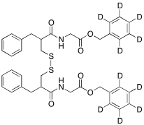
Deacetyl Racecadotril Disulfide-d10
产品基本信息
产品编号:D199022
产品名称:Deacetyl Racecadotril Disulfide-d10
产品CAS:
规格含量:10mg
产品价格:面议
联系我们:
产品详细介绍
标准品编号: D199022
名称: Deacetyl Racecadotril Disulfide-d10
别名: N,N'-[Dithiobis[1-oxo-2-(phenylmethyl)-3,1-propanediyl]]bis-glycine Bis(phenylmethyl) Ester-d10
参考CAS号: 未标记:141437-88-9
分子式: C₃₈H₃₀D₁₀N₂O₆S₂
分子量: 694.93
种类: Research Tools;
应用: Deacetyl Racecadotril Disulfide-d10 is the isotope labelled analog of Deacetyl Racecadotril Disulfide (D199020); an impurity of Racecadotril (R070600) which is an antidiarrheal and enkephalinase inhibitor that reduces the amount of water and electrolytes into the intestine.
参考文献


2011-2018 信阳莱耀生物科技有限公司 @ 信阳埃尔文生物科技有限公司版权所有

中检所标准品,对照品,标准气体
Keywords: 中检所标准品 对照品 标准气体