欢迎光临:莱耀标准品网!
 您的位置:对照品 > 标准品 > 美国药典 >
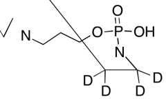
3-(Aziridin-1-yl)propyl Hydrogen Aziridin-1-ylphosphonate-d4
产品基本信息
产品编号:C984602
产品名称:3-(Aziridin-1-yl)propyl Hydrogen Aziridin-1-ylphosphonate-d4
产品CAS:
规格含量:2.5mg
产品价格:面议
联系我们:
产品详细介绍
标准品编号: C984602
名称: 3-(Aziridin-1-yl)propyl Hydrogen Aziridin-1-ylphosphonate-d4
分子式: C₇H₁₁D₄N₂O₃P
分子量: 210.2
类别: Standards; Isotopic Labeled Analogues;
应用: 3-(Aziridin-1-yl)propyl Hydrogen Aziridin-1-ylphosphonate-d4, a deuterium labelledCyclophosphamide Impurity 1 (C984600),is a derivative ofCyclophosphamide Monohydrate (C988580), a known human carcinogen that is widely used in cancer chemotherapy because it can cross-link DNA causing strand breakage and mutation.
参考文献


2011-2018 信阳莱耀生物科技有限公司 @ 信阳埃尔文生物科技有限公司版权所有

中检所标准品,对照品,标准气体
Keywords: 中检所标准品 对照品 标准气体