欢迎光临:莱耀标准品网!
 您的位置:对照品 > 标准品 > TRC >
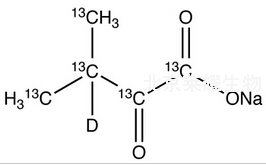
α-酮异戊酸钠-13C5,d标准品
产品基本信息
产品编号:K193504
产品名称:α-酮异戊酸钠-13C5,d标准品
产品CAS:
规格含量:1mg,10mg
产品价格:2500元,20000元
联系我们:
产品详细介绍

  α-酮异戊酸钠-13C5,d标准品

  货号:K193504
  英文名称:α-Keto Isovaleric Acid-13C5,d Sodium Salt
  别名:3-Methyl-2-oxobutanoic Acid-13C5,d Sodium Salt; Sodium 3-Methyl-2-oxobutanoate-13C5,d; Sodium 3-Methyl-2-oxobutyrate-13C5,d; Sodium Dimethylpyruvate-13C5,d; Sodium α-Ketoisovalerate-13C5,d; Sodium α-Oxoisovalerate-13C5,d;
  规格:1mg,10mg
  结构式:
α-酮异戊酸钠-13C5,d标准品
  分子式:13C5H6DNaO3
  分子量:144.07
  产品类别:莱耀生物标准品,北京莱耀生物提供
  注:产品名称以英文名称为准


2011-2018 信阳莱耀生物科技有限公司 @ 信阳埃尔文生物科技有限公司版权所有

中检所标准品,对照品,标准气体
Keywords: 中检所标准品 对照品 标准气体