葡聚糖(工业级〜500K)
货号:D299140
英文名称:Dextran (Technical Grade~ 500K)
别名:Dextrans; Dextranen; Dextraven; Eudextran; Expandex; Gentran; Hemodex; Hyscon; Hyskon; Infucoll; Intrader; Intradex; LMD; LMWD; LVD; Macrodex; Macrose; Oncovertin N; Onkotin; PL 1S; Plasmafusin; Plasmodex; Plavolex; Polyglucin; Polyglusol; Promit; Rheodextran; Rheoisodex; Rheomacrodex; Rheopolyglucin; Rheopolyglucine; Rheorondex; Rheotran; Rondex; Serva G; Ultradex; α-Dextran; Dextran 500000; Dextran PL 1S; Dextran PVD; Dextran RMI;
规格:25g
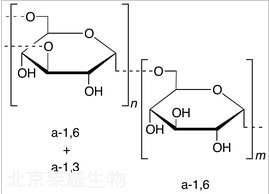
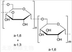
结构式:

CAS号:9004-54-0
分子式:H(C6H10O5)xOH
产品类别:莱耀生物标准品,北京莱耀生物提供
注:产品名称以英文名称为准
|