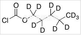
氯甲酸正戊酯-d11标准品
货号:P279832
英文名称:n-Pentyl-d11 chloroformate
别名:Carbonochloridic acid pentyl ester-d11; Chloro-formic acid pentyl ester-d11 ; Amyl chloroformate-d11; Chloroformic acid amyl ester-d11; Chloroformic acid pentyl ester-d11; NSC 7913-d11; Pentyl chloroformate-d11; Pentyloxycarbonyl chloride-d11
规格:10mg,100mg
结构式:

CAS号:1398065-67-2
分子式:C6D11ClO2
分子量:161.67
产品类别:莱耀生物标准品,北京莱耀生物提供
注:产品名称以英文名称为准
|