欢迎光临:莱耀标准品网!
 您的位置:对照品 > 标准品 > TRC >
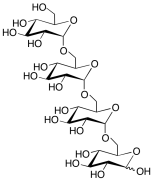
Isomaltotetraose
产品基本信息
产品编号:I821290
产品名称:Isomaltotetraose
产品CAS:35997-20-7
规格含量:10mg
产品价格:面议
联系我们:
产品详细介绍
标准品编号: I821290
名称: Isomaltotetraose
别名: O-α-D-Glucopyranosyl-(1→6)-O-α-D-glucopyranosyl-(1→6)-O-α-D-glucopyranosyl-(1→6)-D-glucose;
CAS号: 35997-20-7
参考CAS号: Lactal Form: 15785-89-4
分子式: C₂₄H₄₂O₂₁
外观: 白色至白色固体
熔点: >210°C
分子量: 666.58
储存: Hygroscopic, -20°C Freezer, Under inert atmosphere
溶解度: Methanol (Slightly), Water (Slightly)
种类: Research Tools; Carbohydrates and Oligosaccharides;
应用: Isomaltotetraose, can be used for immunizication of hybridoma antibodies. the use of synthetic glycolipids as antigens enables one to study the gene control of antibody responses to glycolipids and to investigate the combining-site specificities of antibodies to a single antigenic determinant.
参考文献


2011-2018 信阳莱耀生物科技有限公司 @ 信阳埃尔文生物科技有限公司版权所有

中检所标准品,对照品,标准气体
Keywords: 中检所标准品 对照品 标准气体