欢迎光临:莱耀标准品网!
 您的位置:对照品 > 标准品 > TRC >
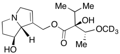
Heliotrine-D3
产品基本信息
产品编号:H235112
产品名称:Heliotrine-D3
产品CAS:
规格含量:10mg
产品价格:面议
联系我们:
产品详细介绍
标准品编号: H235112
名称: Heliotrine-D3
别名: (2S)-2-Hydroxy-2-[(1R)-1-methoxyethyl]-3-methylbutanoic Acid [(1S,7aR)-2,3,5,7a-Tetrahydro-1-hydroxy-1H-pyrrolizin-7-yl]methyl Ester-D3; [1S-[1α,7[R*(S*)],7aα]]-2-Hydroxy-2-(1-methoxyethyl)-3-methylbutanoic Acid (2,3,5,7a-Tetrahydro-1-hydroxy-1H-pyrrolizin-7-yl)methyl Ester-D3; (+)-Heliotrine-D3; 7S-Heliotrin-D3
参考CAS号: Unlabelled: 303-33-3
分子式: C₁₆H₂₄D₃NO₅
分子量: 316.41
种类: Standards; Isotopic Labeled Analogues; Pharmaceutical/API Drug Impurities/Metabolites;
应用: Heliotrine-D3 is a labelled analogue of Heliotrine (H235110). Heliotrine is a monoester pyrrolizidine alkaloid that can be found in the seeds of Heliotropium indicum, one of the most widely used herbs in India. Heliotrine exhibits mutagenic activity and ganglion blocking activity.
参考文献


2011-2018 信阳莱耀生物科技有限公司 @ 信阳埃尔文生物科技有限公司版权所有

中检所标准品,对照品,标准气体
Keywords: 中检所标准品 对照品 标准气体