您的位置:对照品 > 标准品 > TRC >
产品基本信息
产品编号:G836002
产品名称:Guanine-4,8-13C2,7-15N
产品CAS:1246814-70-9
规格含量:25mg
产品价格:面议
联系我们:
产品详细介绍
标准品编号:
G836002
名称:
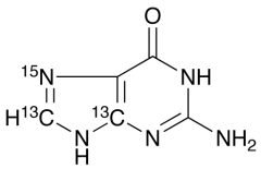
Guanine-4,8-13C2,7-15N
别名:
2-Amino-1,9-dihydro-6H-purin-6-one-4,8-13C2,7-15N; 2-Amino-6-hydroxy-1H-purine-4,8-13C2,7-15N; 2-Amino-6-hydroxypurine-4,8-13C2,7-15N; 2-Aminohypoxanthine-4,8-13C2,7-15N; 9H-Guanine-4,8-13C2,7-15N; 2-Amino-hypoxanthine-4,8-13C2,7-15N;
CAS号:
1246814-70-9
参考CAS号:
类似: 73-40-5
分子式:
C₃¹³C₂H₅N₄¹⁵NO
外观:
Brown to Dark Brown Solid
熔点:
>300°C
分子量:
154.1
储存:
冰箱
溶解度:
Aqueous Base (Slightly)
种类:
Standards; Nucleic Acid; Isotopic Labeled Analogues;
应用:
Labelled Guanine (G836000). Guanine is on one of the five nucleobases incorporated into biological nucleic acids. Guanine, along with adenine and cytosine, is present in both DNA and RNA, whereas thymine is usually seen only in DNA, and uracil only in RNA.
参考文献
Geslain, R., et al.: J. Biol. Chem., 284, 27760 (2009), Manini, P., et al.: Toxicol. Lett., 190, 41 (2009), Gong, B., et al.: Biochem., 48, 11961 (2009), Sugimoto, M., et al.: J. Agric. Food Chem., 58, 374 (2010),
Download MSDS File