欢迎光临:莱耀标准品网!
 您的位置:对照品 > 标准品 > TRC >
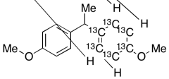
4,4'-(ethane-1,1-diyl)bis(methoxybenzene)-13C6
产品基本信息
产品编号:E519497
产品名称:4,4'-(ethane-1,1-diyl)bis(methoxybenzene)-13C6
产品CAS:
规格含量:5mg
产品价格:面议
联系我们:
产品详细介绍
标准品编号: E519497
名称: 4,4'-(ethane-1,1-diyl)bis(methoxybenzene)-13C6
别名: 1,1'-Ethylidenebis[4-methoxybenzene]-13C6; 1,1-Bis(4-methoxyphenyl)ethane-13C6; 1,1-Bis(p-methoxyphenyl)ethane-13C6; 1,1'-ethane-1,1-diylbis(4-methoxybenzene)-13C6; 1-Methoxy-4-[1-(4-methoxyphenyl)ethyl]benzene-13C6; DDMD-13C6; NSC 38008
参考CAS: 10543-21-2
分子式: C₁₀¹³C₆H₁₈O₂
分子量: 248.27
种类: Building Blocks; Isotopic Labeled Analogues;
应用: 4,4'-(ethane-1,1-diyl)bis(methoxybenzene)-13C6 is an intermediate for the synthesis of Bisphenol E-13C6 (B519482), which is an isotope labelled analog of Bisphenol E. Bisphenol E is a derivative of Bisphenol A (B519495) which is a monomer used for policarbonate and epoxy resins.
参考文献


2011-2018 信阳莱耀生物科技有限公司 @ 信阳埃尔文生物科技有限公司版权所有

中检所标准品,对照品,标准气体
Keywords: 中检所标准品 对照品 标准气体