欢迎光临:莱耀标准品网!
 您的位置:对照品 > 标准品 > TRC >
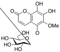
7,8-Dihydroxy-6-methoxycoumarin 5-β-D-Glucoside
产品基本信息
产品编号:D454195
产品名称:7,8-Dihydroxy-6-methoxycoumarin 5-β-D-Glucoside
产品CAS:
规格含量:5mg
产品价格:面议
联系我们:
产品详细介绍
标准品编号: D454195
名称: 7,8-Dihydroxy-6-methoxycoumarin 5-β-D-Glucoside
别名: 7,8-Dihydroxy-6-methoxy-5-(((2S,3R,4S,5S,6R)-3,4,5-trihydroxy-6-(hydroxymethyl)tetrahydro-2H-pyran-2-yl)oxy)-2H-chromen-2-one
分子式: C₁₆H₁₈O₁₁
分子量: 386.31
种类: Standards; Pharmaceutical/API Drug Impurities/Metabolites; Carbohydrates and Oligosaccharides;
应用: 7,8-Dihydroxy-6-methoxycoumarin 5-β-D-Glucoside is an isomer of 5-Hydroxyfraxetin 8-β-D-Glucoside (H942540); a derivative of Fraxetin (F763960) which is a coumarin compound with anti-oxidant and anti-inflammatory activity. It also acts as a protective agent against hyperuricemia and renal dysfunction.
参考文献


2011-2018 信阳莱耀生物科技有限公司 @ 信阳埃尔文生物科技有限公司版权所有

中检所标准品,对照品,标准气体
Keywords: 中检所标准品 对照品 标准气体