欢迎光临:莱耀标准品网!
 您的位置:对照品 > 标准品 > TRC >
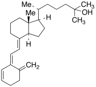
3-Dehydroxy-3-ene-25-ol Vitamin D3
产品基本信息
产品编号:D230610
产品名称:3-Dehydroxy-3-ene-25-ol Vitamin D3
产品CAS:106361-90-4
规格含量:10mg
产品价格:面议
联系我们:
产品详细介绍
标准品编号: D230610
名称: 3-Dehydroxy-3-ene-25-ol Vitamin D3
别名: (5Z,7E)-9,10-Secocholesta-3,5,7,10(19)-tetraen-25-ol, 3-Dehydroxy 25-Hydroxy-Vitamin D3-3-ene
CAS号: 106361-90-4
分子式: C₂₇H₄₂O
外观: Yellow Solid
分子量: 382.62
溶解性: Dichloromethane, Diethyl Ether, Ethyl Acetate
种类: Standards; Chiral Molecules; Pharmaceutical/API Drug Impurities/Metabolites; Vitamin Derivatives; Vitamin D Derivatives;
应用: Vitamin D3 derivative.
参考文献


2011-2018 信阳莱耀生物科技有限公司 @ 信阳埃尔文生物科技有限公司版权所有

中检所标准品,对照品,标准气体
Keywords: 中检所标准品 对照品 标准气体