欢迎光临:莱耀标准品网!
 您的位置:对照品 > 标准品 > 农药标准品 >
L-Glutamine-amide-15N
产品基本信息
产品编号:G597002
产品名称:L-Glutamine-amide-15N
产品CAS:59681-32-2
规格含量:250mg
产品价格:面议
联系我们:
产品详细介绍
标准品编号: G597002
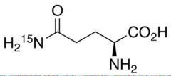
名称: L-Glutamine-amide-15N
别名: (S)-2,5-Diamino-5-oxopentanoic Acid-15N; 2-Aminoglutaramic Acid-15N; Acustasin-15N; Aesgen 14-15N; Cebrogen-15N; Glumin-15N; L-2-Aminoglutaramidic Acid-15N; L-Glutamic Acid γ-Αmide-15N; Levoglutamide-15N; NSC 27421-15N; Saforis-15N; Stimulina-15N; γ-Glutamine-15N;
CAS号: 59681-32-2
参考CAS号: 56-85-9-unlabelled
分子式: C₅H₁₀N¹⁵NO₃
外观: 白色至白色固体
熔点: 167-170ºC
分子量: 147.14
储存: Room Temperature
溶解度: Aqueous Acid (Very Slightly), Water (Slightly)
种类: Building Blocks; Amino Acids; Isotopic Labeled Analogues;
应用: Labelled L-Glutamine (G597000). L-Glutamine is an essential amino acid that is a crucial component of culture media that serves as a major energy source for cells in culture. L-Glutamine is very stable as a dry powder and as a frozen solution. In liquid media or stock solutions, however, L-glutamine degrades relatively rapidly. Optimal cell performance usually requires supplementation of the media with L-glutamine prior to use.
参考文献


2011-2018 信阳莱耀生物科技有限公司 @ 信阳埃尔文生物科技有限公司版权所有

中检所标准品,对照品,标准气体
Keywords: 中检所标准品 对照品 标准气体