欢迎光临:莱耀标准品网!
 您的位置:对照品 > 标准品 > 农药标准品 >
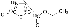
Ethyl 2-Chlorothiazole-5-carboxylate-13C3,15N
产品基本信息
产品编号:E903552
产品名称:Ethyl 2-Chlorothiazole-5-carboxylate-13C3,15N
产品CAS:
规格含量:5mg
产品价格:面议
联系我们:
产品详细介绍
标准品编号: E903552
名称: Ethyl 2-Chlorothiazole-5-carboxylate-13C3,15N
别名: Ethyl 2-Chloro-1,3-thiazole-5-carboxylate-13C3,15N; Ethyl 2-Chloro-5-thiazolecarboxylate-13C3,15N
参考CAS: 81449-93-6
分子式: C₃¹³C₃H₆Cl¹⁵NO₂S
外观: Light Yellow Oil
分子量: 195.61
溶解度: Chloroform; Dichloromethane; DMSO; Ethyl Acetate
种类: Building Blocks; Standards; Isotopic Labeled Analogues; Environmental Standards, Mutagens and Metabolites; Neonicotinoids;
应用: Ethyl 2-Chlorothiazole-5-carboxylate-13C3,15N is an intermediate in synthesizing 2-Chloro-5-thiazolecarboxylic Acid-13C3,15N (C411468), an isotopically labeled analog of 2-Chloro-5-thiazolecarboxylic Acid (C411465). It was studied as one of the metabolites of thiamethoxam, clothianidin, and dinotefuran in mice.
参考文献


2011-2018 信阳莱耀生物科技有限公司 @ 信阳埃尔文生物科技有限公司版权所有

中检所标准品,对照品,标准气体
Keywords: 中检所标准品 对照品 标准气体