欢迎光临:莱耀标准品网!
 您的位置:对照品 > 标准品 > 农药标准品 >
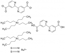
Di-tetrabutylammonium cis-Bis(isothiocyanato)bis(2,2’-bipyridyl-4,4’-d
产品基本信息
产品编号:D679120
产品名称:Di-tetrabutylammonium cis-Bis(isothiocyanato)bis(2,2’-bipyridyl-4,4’-d
产品CAS:207347-46-4
规格含量:50mg
产品价格:面议
联系我们:
产品详细介绍
标准品编号: D679120
名称: Di-tetrabutylammonium cis-Bis(isothiocyanato)bis(2,2’-bipyridyl-4,4’-dicarboxylato)ruthenium (II)
别名: hydrogen (OC-6-21)-bis[[2,2'-bipyridine]-4,4'-dicarboxylato(2-)-κN1,κN1']bis(thiocyanato-κN)ruthenate(4-)N,N,N-tributyl-1-Butanaminium (2:2:1); (OC-6-21)-bis[[2,2'-bipyridine]-4,4'-dicarboxylato(2-)-κN1,κN1']bis(thiocyanato-κN)-Ruthenate(4-) bis(N,N,N-tributyl-1-butanaminium) dihydrogen (9CI); D 719; Dyesol B 2; Dyesol B 2 Dye; N 719; N 719 (dye); Ru 535-bis TBA; Ruthenium 535bis-TBA; Ruthenizer 535bis; Ruthenizer 535bis-TBA; cis-Bis(isothiocyanato)bis(2,2'-bipyridyl-4,4'-dicarboxylato)ruthenium bistetrabutylammonium
CAS号: 207347-46-4
分子式: C₅₈H₈₆N₈O₈RuS₂
分子量: 1188.55
种类: Research Tools; Materials; Dyes;
应用: Di-tetrabutylammonium cis-bis(isothiocyanato)bis(2,2’-bipyridyl-4,4’-dicarboxylato)ruthenium (II) (CAS# 207347-46-4) is an organometallic dye, used in the dye sensitization of solar cells.
参考文献


2011-2018 信阳莱耀生物科技有限公司 @ 信阳埃尔文生物科技有限公司版权所有

中检所标准品,对照品,标准气体
Keywords: 中检所标准品 对照品 标准气体