您的位置:对照品 > 标准品 > 农药标准品 > |
|
|
|
| 产品基本信息 |
|
| 产品编号:D486842 |
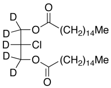
| 产品名称:1,3-Dipalmitoyl-2-chloropropanediol-d5 |
| 产品CAS:1426395-62-1 |
| 规格含量:25mg |
| 产品价格:面议 |
| 联系我们: |
|
|
|
|
|
| 产品详细介绍 |
| 标准品编号: |
D486842 |
| 名称: |
1,3-Dipalmitoyl-2-chloropropanediol-d5 |
| 别名: |
Hexadecanoic Acid 2-Chloro-1,3-propanediyl-d5 Ester; 1,3-Bispalmitoyl-2-chloropropanediol-d5; PP-2-MCPD-d5 |
| CAS号: |
1426395-62-1 |
| 参考CAS号: |
169471-41-4-未标记 |
| 分子式: |
C₃₅H₆₂D₅ClO₄ |
| 外观: |
白色至白色固体 |
| 熔点: |
48-50°C |
| 分子量: |
592.39 |
| 储存: |
冰箱保存 |
| 溶解性: |
Chloroform, Ethyl Acetate |
| 种类: |
Building Blocks; Isotopic Labeled Analogues; Pharmaceutical/API Drug Impurities/Metabolites; Lipids/Fatty Acids, Glycerol Derivatives; |
| 应用: |
Labelled 1,3-Dipalmitoyl-2-chloropropanediol is used in the synthesis of some prodrugs of Piroxicam and Lornoxicam to improve their bioavailability. |
| 参考文献 |
|
|
|
|
|
|
|
|