欢迎光临:莱耀标准品网!
 您的位置:对照品 > 标准品 > 农药标准品 >
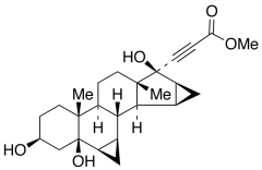
3-(6β,7β,15β,16β-Dimethylene-3β,5β-d
产品基本信息
产品编号:D472830
产品名称:3-(6β,7β,15β,16β-Dimethylene-3β,5β-d
产品CAS:
规格含量:50mg
产品价格:面议
联系我们:
产品详细介绍
标准品编号: D472830
名称: 3-(6β,7β,15β,16β-Dimethylene-3β,5β-dihydroxyandrostan-17-ol)-2-propynoic Acid Methyl Ester
别名: 3-[(3S,5R,6R,7R,8R,9S,10R,13S,14S,15S,16S,17S)-Octadecahydro-3,5,17-trihydroxy-10,13-dimethyl-1H-dicyclopropa[6,7:15,16]cyclopenta[a]phenanthren-17-yl]-2-propynoic Acid Methyl Ester
分子式: C₂₅H₃₄O₅
外观: Yellow Foam
分子量: 414.53
储存: -20°C Freezer
溶解性: Chloroform, Methanol
种类: Building Blocks; Steroids; Pharmaceutical/API Drug Impurities/Metabolites;
应用: Intermediate in the preparation of Drospirenone (D689500).
参考文献


2011-2018 信阳莱耀生物科技有限公司 @ 信阳埃尔文生物科技有限公司版权所有

中检所标准品,对照品,标准气体
Keywords: 中检所标准品 对照品 标准气体