欢迎光临:莱耀标准品网!
 您的位置:对照品 > 标准品 > 农药标准品 >
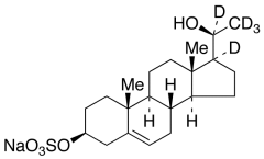
20α-Dihydro Pregnenolone-d5 3-Sulfate Sodium Salt
产品基本信息
产品编号:D446407
产品名称:20α-Dihydro Pregnenolone-d5 3-Sulfate Sodium Salt
产品CAS:
规格含量:10mg
产品价格:面议
联系我们:
产品详细介绍
标准品编号: D446407
名称: 20α-Dihydro Pregnenolone-d5 3-Sulfate Sodium Salt
别名: (3β,20S)-Pregn-5-ene-3,20-diol-d5 3-(Hydrogen Sulfate) Sodium; Pregn-5-ene-3β,20α-diol-d5 3-(Hydrogen Sulfate) Sodium; 5-Pregnene-20α-ol-d5 3β-Sulfate Sodium; Dihydropregnenolone-d5 3-Sulfate Sodium; Pregnenediol-d5 Sulfate Sodium;
参考CAS号: 131320-06-4-未标记
分子式: C₂₁H₂₈D₅NaO₅S
分子量: 425.57
种类: Standards; Isotopic Labeled Analogues; Pharmaceutical/API Drug Impurities/Metabolites; Steroids;
应用: Labelled 20α-Dihydro Pregnenolone 3-Sulfate (D446405). 20α-Dihydro Pregnenolone 3-Sulfate is a metabolite of Pregnenolone (P712200).
参考文献


2011-2018 信阳莱耀生物科技有限公司 @ 信阳埃尔文生物科技有限公司版权所有

中检所标准品,对照品,标准气体
Keywords: 中检所标准品 对照品 标准气体