欢迎光临:莱耀标准品网!
 您的位置:对照品 > 标准品 > 农药标准品 >
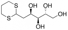
2-Deoxy-D-arabino-hexose Propylene Dithioacetal
产品基本信息
产品编号:D232085
产品名称:2-Deoxy-D-arabino-hexose Propylene Dithioacetal
产品CAS:91294-63-2
规格含量:25mg
产品价格:面议
联系我们:
产品详细介绍
标准品编号: D232085
名称: 2-Deoxy-D-arabino-hexose Propylene Dithioacetal
别名: 2-Deoxy-D-arabino-hexose Cyclic 1,3-Propanediyl Mercaptal;
CAS号: 91294-63-2
分子式: C₉H₁₈O₄S₂
外观: 白色固体
分子量: 254.37
溶解性: DMSO, Methanol
种类: Building Blocks; Carbohydrates and Oligosaccharides;
应用: 2-Deoxy-D-arabino-hexose Propylene Dithioacetal (cas# 91294-63-2) is a compound useful in organic synthesis.
参考文献


2011-2018 信阳莱耀生物科技有限公司 @ 信阳埃尔文生物科技有限公司版权所有

中检所标准品,对照品,标准气体
Keywords: 中检所标准品 对照品 标准气体