欢迎光临:莱耀标准品网!
 您的位置:对照品 > 标准品 > 进口标准品 >
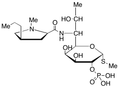
Lincomycin 2-Phosphate
产品基本信息
产品编号:L466205
产品名称:Lincomycin 2-Phosphate
产品CAS:27480-30-4
规格含量:1mg
产品价格:面议
联系我们:
产品详细介绍
标准品编号: L466205
名称: Lincomycin 2-Phosphate
别名: Methyl 6,8-dideoxy-6-[[[(2S,4R)-1-methyl-4-propyl-2-pyrrolidinyl]carbonyl]amino]-1-thio-D-erythro-α-D-galacto-Octopyranoside 2-(dihydrogen phosphate); Clindamycin Phosphate EP Impurity F
杂质: Clindamycin Phosphate EP Impurity F
CAS号: 27480-30-4
分子式: C₁₈H₃₅N₂O₉PS
外观: 白色至白色固体
熔点: >208°C (dec.)
分子量: 486.52
储存: Hygroscopic, -20°C Freezer, Under inert atmosphere
溶解度: Methanol (Slightly, Heated), Water (Slightly)
种类: Research Tools; Chiral Molecules; Pharmaceutical/API Drug Impurities/Metabolites; Carbohydrates and Oligosaccharides;
应用: Lincomycin 2-Phosphate (Clindamycin Phosphate EP Impurity F) is the derivative of Lincomycin (L466200), a lincosamide antibiotic that forms cross-links within the peptidyl transferase loop region of the 23S rRNA. Inhibits bacterial protein synthesis. Antibacterial.
参考文献


2011-2018 信阳莱耀生物科技有限公司 @ 信阳埃尔文生物科技有限公司版权所有

中检所标准品,对照品,标准气体
Keywords: 中检所标准品 对照品 标准气体