欢迎光临:莱耀标准品网!
 您的位置:对照品 > 标准品 > 进口标准品 >
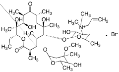
Erythromycin N-2-Propenyl Bromide
产品基本信息
产品编号:E649955
产品名称:Erythromycin N-2-Propenyl Bromide
产品CAS:
规格含量:25mg
产品价格:面议
联系我们:
产品详细介绍
标准品编号: E649955
名称: Erythromycin N-2-Propenyl Bromide
别名: (3R,4S)-N-Allyl-2-(((3R,4S,5S,6R,7R,9R,11R,12R,13S,14R)-14-ethyl-7,12,13-trihydroxy-4-(((2R,4R,5S,6S)-5-hydroxy-4-methoxy-4,6-dimethyltetrahydro-2H-pyran-2-yl)oxy)-3,5,7,9,11,13-hexamethyl-2,10-dioxooxacyclotetradecan-6-yl)oxy)-3-hydroxy-N,N,6-trimethyltetrahydro-2H-pyran-4-aminium Bromide;
分子式: C₄₀H₇₂N⁺O₁₃•Br⁻
外观: Light Brown Solid
分子量: 775.00799
溶解度: Ethyl Acetate
种类: Standards; Chiral Molecules; Pharmaceutical/API Drug Impurities/Metabolites;
应用: Erythromycin N-2-propenyl Bromide is an intermediate in synthesizing 2'-O-[(2-Methoxyethoxy)methyl] Roxithromycin (M262515), which is a Roxithromycin (R700850) impurity and structurally related substance in bulk samples.
参考文献


2011-2018 信阳莱耀生物科技有限公司 @ 信阳埃尔文生物科技有限公司版权所有

中检所标准品,对照品,标准气体
Keywords: 中检所标准品 对照品 标准气体