欢迎光临:莱耀标准品网!
 您的位置:对照品 > 标准品 > 进口标准品 >
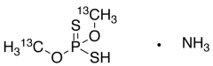
O,O-Dimethyl Dithiophosphate-13C2 Ammonium Salt
产品基本信息
产品编号:D472742
产品名称:O,O-Dimethyl Dithiophosphate-13C2 Ammonium Salt
产品CAS:1329610-82-3
规格含量:25mg
产品价格:面议
联系我们:
产品详细介绍
标准品编号: D472742
名称: O,O-Dimethyl Dithiophosphate-13C2 Ammonium Salt
别名: Phosphorodithioic Acid O,O-Dimethyl Ester-13C2 Ammonium Salt; Ammonium Methyl Phosphorodithioate-13C2; Ammonium O,O-Dimethyl Dithiophosphate-13C2; Ammonium O,O'-Dimethyl Phosphorodithioate-13C2; Ammonium Dimethyldithiophosphate-13C2; O,O-Dimethyldithiophosphoric Acid-13C2 Ammonium Salt;
CAS号: 1329610-82-3
参考CAS号: 1066-97-3-未标记
分子式: ¹³C₂H₁₀NO₂PS₂
外观: 白色固体
熔点: >260°C
分子量: 177.2
储存: -20˚C Freezer, Under Inert Atmosphere
溶解性: DMSO, Methanol
种类: Standards; Isotopic Labeled Analogues;
应用: Labelled dimethyl phosphorodithiolate derivatives used as insecticides.
参考文献


2011-2018 信阳莱耀生物科技有限公司 @ 信阳埃尔文生物科技有限公司版权所有

中检所标准品,对照品,标准气体
Keywords: 中检所标准品 对照品 标准气体