欢迎光临:莱耀标准品网!
 您的位置:对照品 > 标准品 > 进口标准品 >
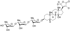
Digitoxin-21,23,23-d3
产品基本信息
产品编号:D445952
产品名称:Digitoxin-21,23,23-d3
产品CAS:
规格含量:2.5mg
产品价格:面议
联系我们:
产品详细介绍
标准品编号: D445952
名称: Digitoxin-21,23,23-d3
别名: (3β,5β)-3-[(O-2,6-Dideoxy-β-D-ribo-hexopyranosyl-(1→4)-O-2,6-dideoxy-β-D-ribo-hexopyranosyl-(1→4)-2,6-dideoxy-β-D-ribo-hexopyranosyl)oxy]-14-hydroxycard-20(22)-enolide-21,23,23-d3; Cardidigin-21,23,23-d3; Cardigin-21,23,23-d3; Carditoxin-21,23,23-d3; Coramedan-21,23,23-d3; Cristapurat-21,23,23-d3; Crystalline Digitalin-21,23,23-d3; Crystodigin-21,23,23-d3; Digicor-21,23,23-d3; Digilong-21,23,23-d3; Digimed-21,23,23-d3; Digimerck-21,23,23-d3; Digipural-21,23,23-d3; Digisidin-21,23,23-d3; Digitaline Nativelle-21,23,23-d3; Digitophyllin-21,23,23-d3; Digitoxigenin tridigitoxoside-21,23,23-d3; Digitrin-21,23,23-d3 ; Ditaven-21,23,23-d3; Glucodigin-21,23,23-d3; Lanatoxin-21,23,23-d3 ;Myodigin-21,23,23-d3 ; NSC 7529-21,23,23-d3 Purodigin-21,23,23-d3; Purpurid-21,23,23-d3; Tradigal-21,23,
参考CAS号: 未标记:71-63-6
分子式: C₄₁H₆₁D₃O₁₃
外观: 白色至淡黄色固体
熔点: >200°C (dec.)
分子量: 767.96
储存: Hygroscopic, -20°C Freezer, Under inert atmosphere
溶解性: Chloroform (Slightly), Methanol (Slightly)
种类: Standards; Chiral Molecules; Steroids; Pharmaceutical/API Drug Impurities/Metabolites;
应用: Isotope labelled Digitoxin (D445950), is used as a cardiotonic.
危险品: Not a dangerous good if item is equal to or less than 1g/ml and there is less than 100g/ml in the package
参考文献


2011-2018 信阳莱耀生物科技有限公司 @ 信阳埃尔文生物科技有限公司版权所有

中检所标准品,对照品,标准气体
Keywords: 中检所标准品 对照品 标准气体