欢迎光临:莱耀标准品网!
 您的位置:对照品 > 标准品 > 进口标准品 >
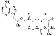
Diethylaminocarboxymethyl POC Tenofovir (Mixture of Diastereomers)
产品基本信息
产品编号:D443590
产品名称:Diethylaminocarboxymethyl POC Tenofovir (Mixture of Diastereomers)
产品CAS:1246812-23-6
规格含量:10mg
产品价格:面议
联系我们:
产品详细介绍
标准品编号: D443590
名称: Diethylaminocarboxymethyl POC Tenofovir (Mixture of Diastereomers)
CAS号: 1246812-23-6
分子式: C₂₀H₃₃N₆O₉P
外观: Pale Yellow Thick Oil to Light Yellow Waxy Solid
熔点: N/A
分子量: 532.48
储存: -20ËšC Freezer
溶解性: Chloroform (Slightly), Methanol (Slightly)
种类: Standards; Pharmaceutical/API Drug Impurities/Metabolites;
应用: Tenofovir (T018500) impurity.
参考文献


2011-2018 信阳莱耀生物科技有限公司 @ 信阳埃尔文生物科技有限公司版权所有

中检所标准品,对照品,标准气体
Keywords: 中检所标准品 对照品 标准气体