欢迎光临:莱耀标准品网!
 您的位置:对照品 > 标准品 > 进口标准品 >
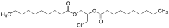
rac-1, 2-Didecanoyl-3-chloropropanediol
产品基本信息
产品编号:D439800
产品名称:rac-1, 2-Didecanoyl-3-chloropropanediol
产品CAS:
规格含量:100mg
产品价格:面议
联系我们:
产品详细介绍
标准品编号: D439800
名称: rac-1, 2-Didecanoyl-3-chloropropanediol
别名: rac-1, 2-Dicaprinoyl-3-chloropropanediol
分子式: C₂₃H₄₃ClO₄
外观: Clear Colorless to Pale Yellow Oil
分子量: 419.04
储存: 冰箱保存
溶解性: Chloroform (Slightly), Methanol (Slightly)
种类: Standards; Lipids/Fatty Acids, Glycerol Derivatives;
应用: rac-1, 2-Didecanoyl-3-chloropropanediol belongs to a group of 3-Chloropropanediol fatty acid esters, which are contaminants found in edible oils and other food sources.
参考文献


2011-2018 信阳莱耀生物科技有限公司 @ 信阳埃尔文生物科技有限公司版权所有

中检所标准品,对照品,标准气体
Keywords: 中检所标准品 对照品 标准气体