欢迎光临:莱耀标准品网!
 您的位置:对照品 > 标准品 > 进口标准品 >
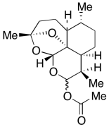
Deoxydihydroartemisinin Acetate
产品基本信息
产品编号:D239665
产品名称:Deoxydihydroartemisinin Acetate
产品CAS:90935-12-9
规格含量:25mg
产品价格:面议
联系我们:
产品详细介绍
标准品编号: D239665
名称: Deoxydihydroartemisinin Acetate
别名: [2S-(2α,3β,3aα,6α,6aα,9α,10aβ,10bα)]-Decahydro-3,6,9-trimethyl-10aH-9,10b-epoxypyrano[4,3,2-jk][2]benzoxepin-2-ol Acetate; (2S,3R,3aS,6R,6aS,9S,10aR,10bR)-Decahydro-3,6,9-trimethyl-10aH-9,10b-epoxypyrano[4,3,2-jk][2]benzoxepin-2-ol 2-Acetate;
CAS号: 90935-12-9
分子式: C₁₇H₂₆O₅
外观: 白色固体
分子量: 310.39
种类: Standards; Natural Products;
应用: Deoxydihydroartemisinin Acetate is a derivative of Artemisinin (A777500), the active antimalarial constituent of the tradional Chinese medicinal herb Artemisia annua L., Compositae, which has been known for almost 2000 years. Deoxydihydroartemisinin Acetate have been tested for other potential biological activities such as for preventing and treating obesity.
参考文献


2011-2018 信阳莱耀生物科技有限公司 @ 信阳埃尔文生物科技有限公司版权所有

中检所标准品,对照品,标准气体
Keywords: 中检所标准品 对照品 标准气体