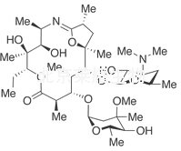
红霉素A6,9-亚氨基醚标准品
货号:E650015
英文名称:Erythromycin A 6,9-Imino Ether
别名: [3R-(3R*,4R*,5S*,6R*,9R*,10S*,11S*,12R*,13R*,15R*)]-10-[(2,6-dideoxy-3-C-methyl-3-O-methyl-α-L-ribo-hexopyranosyl)oxy]-6-ethyl-4,5-dihydroxy-3,5,9,11,13,15-hexamethyl-12-[[3,4,6-trideoxy-3-(dimethylamino)-β-D-xylo-hexopyranosyl]oxy]-16-Dioxa-2-azabicyclo[11.2.1]hexadec-1-en-8-one;
规格:10mg
结构图:

CAS号:99290-97-8
分子式:C₃₇H₆₆N₂O₁₂
分子量:730.93
产品类别:标准对照品,北京莱耀生物提供
注:产品名称以英文名称为准
|