欢迎光临:莱耀标准品网!
 您的位置:对照品 > 标准品 > 分析标准品 >
DL-2-Hydroxy-4-(methylthio)butanoic Acid-13C4
产品基本信息
产品编号:H948387
产品名称:DL-2-Hydroxy-4-(methylthio)butanoic Acid-13C4
产品CAS:
规格含量:1mg,10mg
产品价格:2700元,21000元
联系我们:
产品详细介绍

  DL-2-羟基-4-甲硫基丁酸-13C4标准品

  货号:H948387
  英文名称:DL-2-Hydroxy-4-(methylthio)butanoic Acid-13C4
  别名:α-Hydroxy-γ-(methylmercapto)butyric Acid-13C4; γ-(Methylthio)-α-hydroxybutyric Acid-13C4; 2-Hydroxy-4-(methylmercapto)butyric Acid-13C4; Desmenidol-13C4; HMTBVIP(LA)13C4;
  规格:1mg,10mg
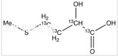
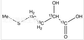
  结构式:
DL-2-羟基-4-甲硫基丁酸-13C4标准品
  分子式:C13C4H10O3S
  分子量:154.17
  产品类别:莱耀生物标准品,北京莱耀生物提供
  注:产品名称以英文名称为准


2011-2018 信阳莱耀生物科技有限公司 @ 信阳埃尔文生物科技有限公司版权所有

中检所标准品,对照品,标准气体
Keywords: 中检所标准品 对照品 标准气体