欢迎光临:莱耀标准品网!
 您的位置:对照品 > 标准品 > 分析标准品 >
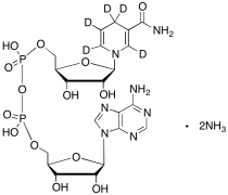
β-NADH-d5 (d5-major) Diammonium Salt
产品基本信息
产品编号:N201487
产品名称:β-NADH-d5 (d5-major) Diammonium Salt
产品CAS:
规格含量:2.5mg
产品价格:面议
联系我们:
产品详细介绍
标准品编号: N201487
名称: β-NADH-d5 (d5-major) Diammonium Salt
别名: Adenosine 5'-(trihydrogen pyrophosphate), 5'→5'-ester with 1,4-dihydro-1-β-D-ribofuranosylnicotinamide-d4; Adenosine pyrophosphate, 5'→5'-ester with 1,4-dihydro-1-β-D-ribofuranosylnicotinamide-d4 Diammonium Salt; 1,4-Dihydronicotinamide adenine dinucleotide-d4; Dihydronicotinamide-d4 adenine dinucleotide; Dihydronicotinamide-d4 mononucleotide; Diammonium Salt ENADVIP(LA)d4 Diammonium Salt; N 8129-d4 Diammonium Salt; NADH-d4 Diammonium Salt; NADH2-d4 Diammonium Salt Diammonium Salt; Nicotinamide-adenine-d4 dinucleotide, reduced; β-DPNH-d4 Diammonium Salt
参考CAS号: 58-68-4 unlabelled, 606-68-8 unlabelled disodium s
分子式: C₂₁H₂₄D₅N₇O₁₄P₂ • 2NH₃
外观: 白色固体
熔点: >160°C (dec.)
分子量: 670.473406
储存: Amber Vial, -86°C Freezer, Under inert atmosphere
溶解度: Water (slightly)
种类: Building Blocks; Isotopic Labeled Analogues; Carbohydrates and Oligosaccharides;
应用: β-NADH-d4 is labelled β-NADH (N201480, Disodium salt). β-NADH is one of the biologically active forms of nicotinic acid. Serves as a coenzyme of hydrogenases and dehydrogenases. NAD usually acts as a hydrogen acceptor, forming NADH which then serves as a hydrogen donor in the respiratory chain. Present in living cells primarily in the reduced form (NADPH) and is involved in synthetic reactions.
参考文献


2011-2018 信阳莱耀生物科技有限公司 @ 信阳埃尔文生物科技有限公司版权所有

中检所标准品,对照品,标准气体
Keywords: 中检所标准品 对照品 标准气体