您的位置:对照品 > 标准品 > 分析标准品 >
产品基本信息
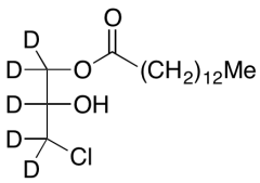
产品编号:M884752
产品名称:rac 1-Myristoyl-3-chloropropanediol-d5
产品CAS:
规格含量:5mg
产品价格:面议
联系我们:
产品详细介绍
标准品编号:
M884752
名称:
rac 1-Myristoyl-3-chloropropanediol-d5
别名:
Tetradecanoic Acid 3-Chloro-2-hydroxypropyl Ester-d5;Myristic Acid 3-Chloro-2-hydroxypropyl Ester-d5;
参考CAS号:
30557-03-0 unlabelled
分子式:
C₁₇H₂₈D₅ClO₃
分子量:
325.93
种类:
Standards; Isotopic Labeled Analogues; Lipids/Fatty Acids, Glycerol Derivatives; Environmental Standards, Mutagens and Metabolites;
应用:
rac 1-Myristoyl-3-chloropropanediol-d5 is labelled 1-Myristoyl-3-chloropropanediol (M884750) which is a MCPD fatty acid ester found in a variety of vegetable oils.
参考文献
Velisek, J., et al.: J. Agric. Food Chem., 28, 1142 (1980); Zelinkova, Z., et al.: Food Addit. Contam., 23, 1290 (2006); Weisshaar, R., et al.: Eur. J. Lipid Sci. Technol., 110, 183 (2008)